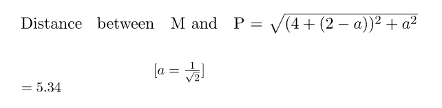
Q. 10 Four branches of a company are located at M, N, O and P, M is north of N at a
distance of 4 km: P is south of O at a distance of 2 km: N is southeast of O by 1
km. What is the distance between M and P in km?
(A) 5.34
(B) 6.74
(C) 28.5
(D) 45.49
Answer: (A)
Explanation:












