Voltage Divider Calculator:
Enter the resistance of the resistor in ohms and source voltage in volts then press the calculate button to get the voltage across that particular resistor. Our voltage divider calculator works based on three resistor model as mentioned in the circuit. Here third resistance is an optional one. Atleast minimum, you have to enter two resistor value.

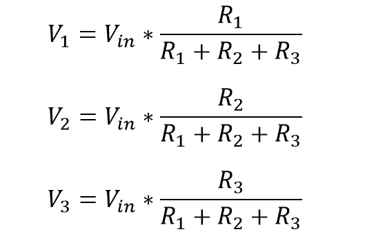
The voltage across that particular resistance is equal to source voltage times of that resistance divided by sum of all resistance.
Therefore, you can calculate the voltage across the three resistors at a time and the formula is

A potential divider is an electric circuit used to reduce the voltage step by step by using a resistor. Below mentioned formula for calculating voltage across any resistance circuit.
Let us take a simple circuit consisting of three resistances,

R1 => Resistance of the 1st resistor, in Ohms (Ω).
R2 => Resistance of the 2nd resistor, in Ohms (Ω).
Ri => Resistance of the ith resistor, in Ohms (Ω).
Vout => Output voltage across the resistor R2 in volts.
Vin => Source voltage in volts.
Vi => Voltage across the ith resistor.
For calculating voltage across the ith resistor, the formula become,

For calculating voltage across the multiple resistors, just use the above-mentioned formula.
Example:
R1 = 10 ohms, R2 = 20 ohms, R3 = 10 ohms, input voltage = 24 Volts, Calculate the voltage across the resistor R3.
Use our formula,
V3 = 24 x 10 /(10 + 20 + 10)
V3 = 6 V
V3 = Voltage across the third resistance is equal to 6 volts